Ответы
Ответ дал:
0
Смотрите прикрепленный файл.
Приложения:

Ответ дал:
0
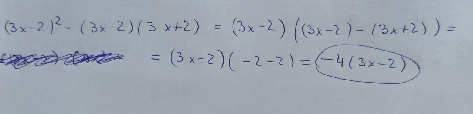
(3x - 2)² - (3x - 2) * (2 + 3x)
(3x - 2) * (3x - 2 - ( 2 + 3x))
(3x - 2) * (3x - 2 - 2 - 3x)
(3x - 2)* ( -
- 4 (3x - 2)
(3x - 2) * (3x - 2 - ( 2 + 3x))
(3x - 2) * (3x - 2 - 2 - 3x)
(3x - 2)* ( -
- 4 (3x - 2)
Приложения:

Вас заинтересует
2 года назад
2 года назад
3 года назад
9 лет назад
9 лет назад
9 лет назад
9 лет назад