• Предмет: Химия
  • Автор: stalker55555
  • Вопрос задан 8 лет назад

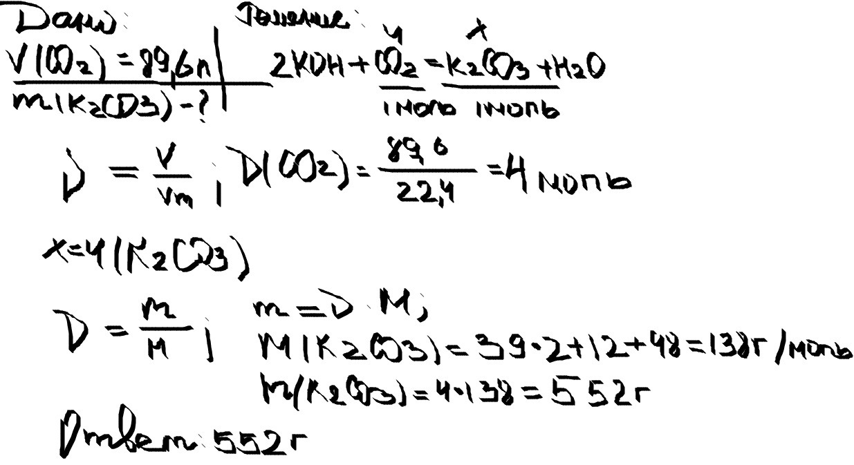
Яка маса солі утворилась при пропусканні 89.6 л вуглекислого газу крізь розчин KOH(калій гідроксиду)

Ответы

Ответ дал: PashaNikitin
0
Решение на фотографии 
Извиняюсь за почерк 
Приложения:
Вас заинтересует