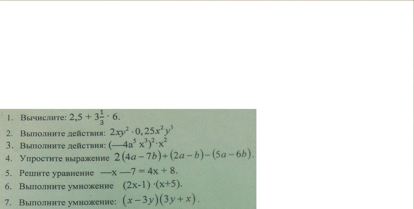
Ответы
Ответ дал:
0
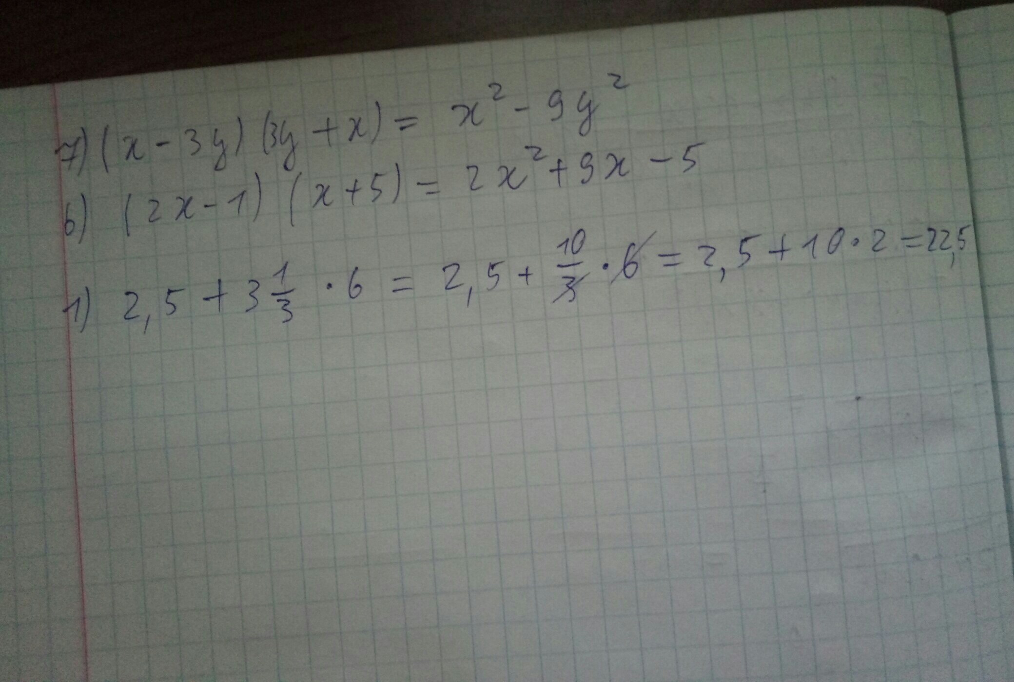
3 решил еще 4 через пару мин кину
Приложения:

Ответ дал:
0
Безмерно благодарен.
Ответ дал:
0
Вроде так.................
Приложения:

Вас заинтересует
3 года назад
3 года назад
9 лет назад
9 лет назад