• Предмет: Математика
  • Автор: craxyguy12335
  • Вопрос задан 8 лет назад

пожалуйста решите 20 баллов

Приложения:

Ответы

Ответ дал: nikz9678
0
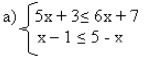
5x + 3 ≤ 6x + 7          5x - 6x ≤ 7 - 3                 -x ≤ 4            x ≤ -4
x - 1 ≤ 5 - x                x + x ≤ 5 + 1                   2x ≤ 6           x ≤ 3
Ответ дал: craxyguy12335
0
Спасибо большое
Вас заинтересует