Ответы
Ответ дал:
0
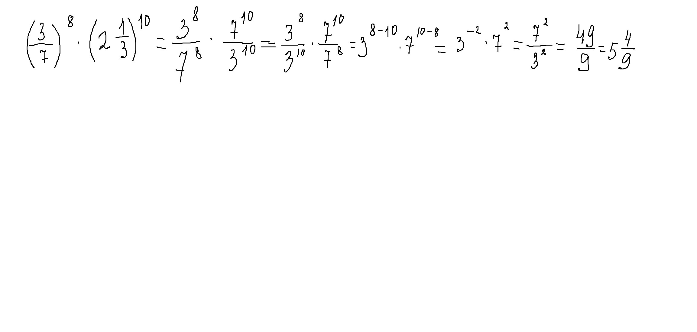
вторую дробь превратим в неправильную и воспользуемся свойством степеней
Приложения:
Ответ дал:
0
ответ:49/9или5 4/9
3/7(8)×7/3(10)
3/8×7/3(10)
——————
7(8)
7(10)/3(2)/7(8)
7/3(2)
49/9 или 5 4/9
3/7(8)×7/3(10)
3/8×7/3(10)
——————
7(8)
7(10)/3(2)/7(8)
7/3(2)
49/9 или 5 4/9
Приложения:
Вас заинтересует
2 года назад
3 года назад
9 лет назад
9 лет назад
10 лет назад