• Предмет: Геометрия
  • Автор: zavadskij44p995l0
  • Вопрос задан 8 лет назад

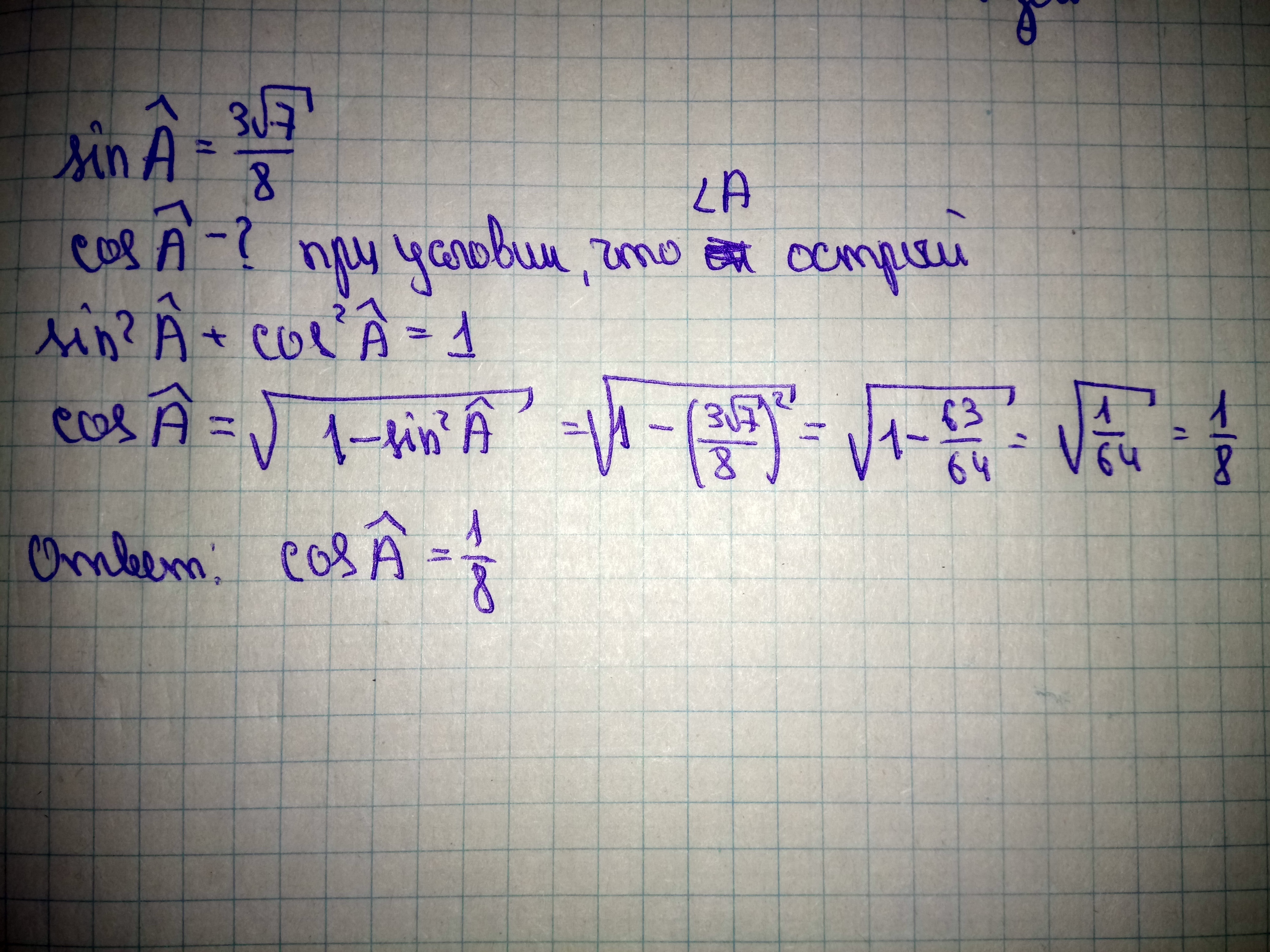
Синус острого угла A треугольника ABC равен 3√7/8. Найдите cosA

Ответы

Ответ дал: valenivan
0
Решение задания приложено
Приложения:
Вас заинтересует