• Предмет: Математика
  • Автор: kastorskij
  • Вопрос задан 8 лет назад

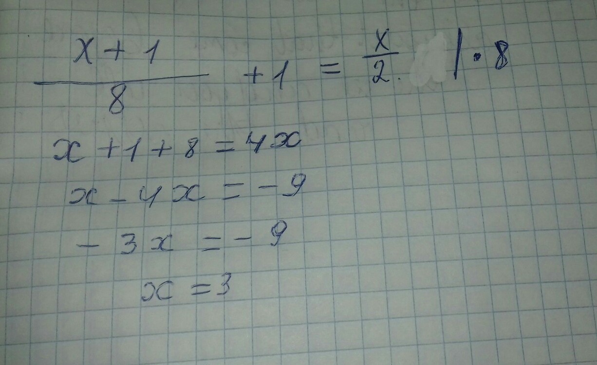
Помогите решить уравнение дробь в числителе Икс плюс 1 в знаменателе 8 потом плюс 1 равно числитель X знаменатели 2.

Ответы

Ответ дал: ГолубаяДаль
0

 frac{x + 1}{8}  + 1 =  frac{x}{2}  |   times8\ x  + 1 + 8  =  4x \ x + 9 = 4x \ x - 4x =  - 9 \  - 3x =  - 9 \ x =  - 9 div ( - 3) \ x = 3
Ответ: 3

Всё сделано лично мной. Копирование запрещено©
Ответ дал: svetaaa77
0
Решение на фото......
Приложения:
Вас заинтересует