Ответы
Ответ дал:
0
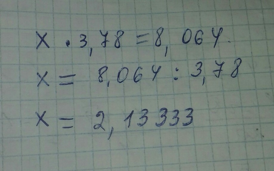
х*3,78=8,064
x=8,064/3,78
x=2 целых 2/15
x=8,064/3,78
x=2 целых 2/15
Ответ дал:
0
что обозначает /
Ответ дал:
0
дробь
Ответ дал:
0
или
Ответ дал:
0
деление, это одно и тоже
Ответ дал:
0
спасибо
Ответ дал:
0
Решение на фото.....
Приложения:

Вас заинтересует
2 года назад
3 года назад
3 года назад
9 лет назад
9 лет назад
9 лет назад