• Предмет: Алгебра
  • Автор: Temer1591
  • Вопрос задан 8 лет назад

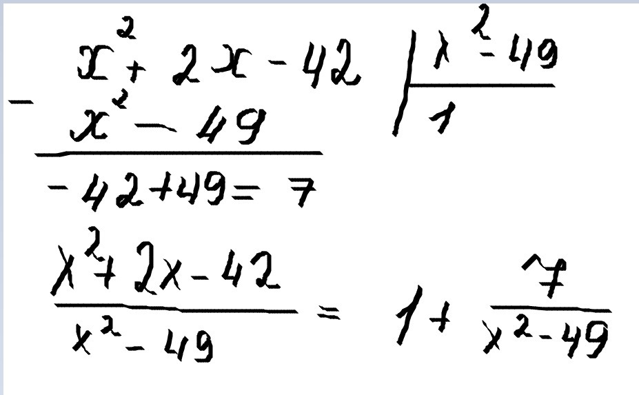
x^2+2x-42/x^2-49 Сократите дробь

Ответы

Ответ дал: Guardian07
0
Эта дробь несократима,т.к корни числителя иррациональны,но можно выполнить деление "уголком"

Приложения:
Ответ дал: medjidovasaida
0
она не сокращается так как никак нельзя упростить. Так и остаётся
Приложения:
Ответ дал: medjidovasaida
0
лкчший ответ плиз
Вас заинтересует