• Предмет: Математика
  • Автор: lutfillokhon20
  • Вопрос задан 8 лет назад

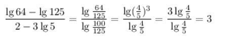
Помогите решит (lg64-lg125)/(2-3lg5)

Ответы

Ответ дал: artalex74
0
 dfrac{lg64 - lg125}{2-3lg5} =  dfrac{lg frac{64}{125} }{lg frac{100}{125} } = dfrac{lg (frac{4}{5})^3 }{lg frac{4}{5} } = dfrac{3 lg frac{4}{5} }{lg frac{4}{5} } = 3
Приложения:
Вас заинтересует