• Предмет: Математика
  • Автор: belihp87sni
  • Вопрос задан 8 лет назад

ПОМОГИТЕ ПОЖАЛУЙСТА 10-11 КЛАСС СРОЧНО!!!

Приложения:

Ответы

Ответ дал: justcall
0
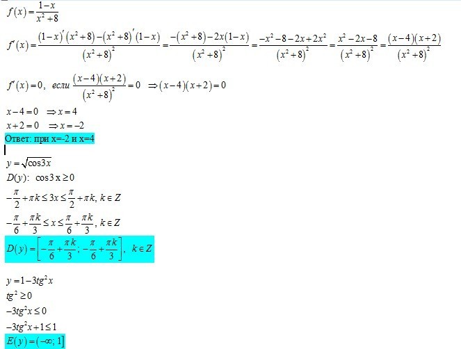
Решение во вложении.
Приложения:
Ответ дал: belihp87sni
0
Спасибо
Вас заинтересует