Ответы
Ответ дал:
0
Разложим числитель
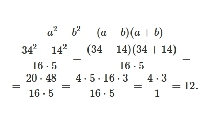
(34-14)(34+14) =20*48
20*48/16*5=5*4*48/4*4*5 сокращаем и получаем 48/4=12
(34-14)(34+14) =20*48
20*48/16*5=5*4*48/4*4*5 сокращаем и получаем 48/4=12
Ответ дал:
0
Чтобы не вычислять квадраты чисел в числителе, используем формулу разности квадратов:
Приложения:

Вас заинтересует
2 года назад
2 года назад
3 года назад
3 года назад
9 лет назад
9 лет назад
9 лет назад