• Предмет: Математика
  • Автор: solnze203
  • Вопрос задан 8 лет назад

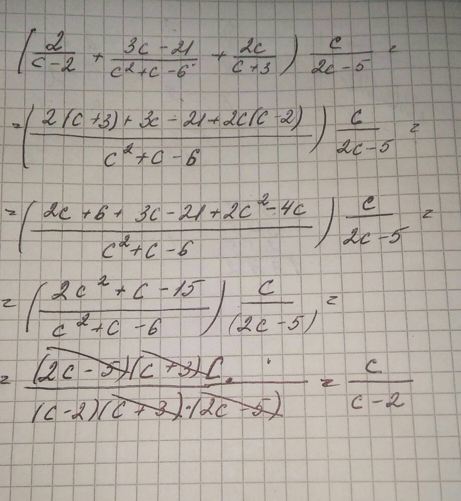
Пожалуйста помогите упростить выражение. Заранее спасибо

Приложения:

Ответы

Ответ дал: jene4ka1990p80htg
0
............................
Приложения:
Вас заинтересует