• Предмет: Математика
  • Автор: Jhannatigr
  • Вопрос задан 8 лет назад

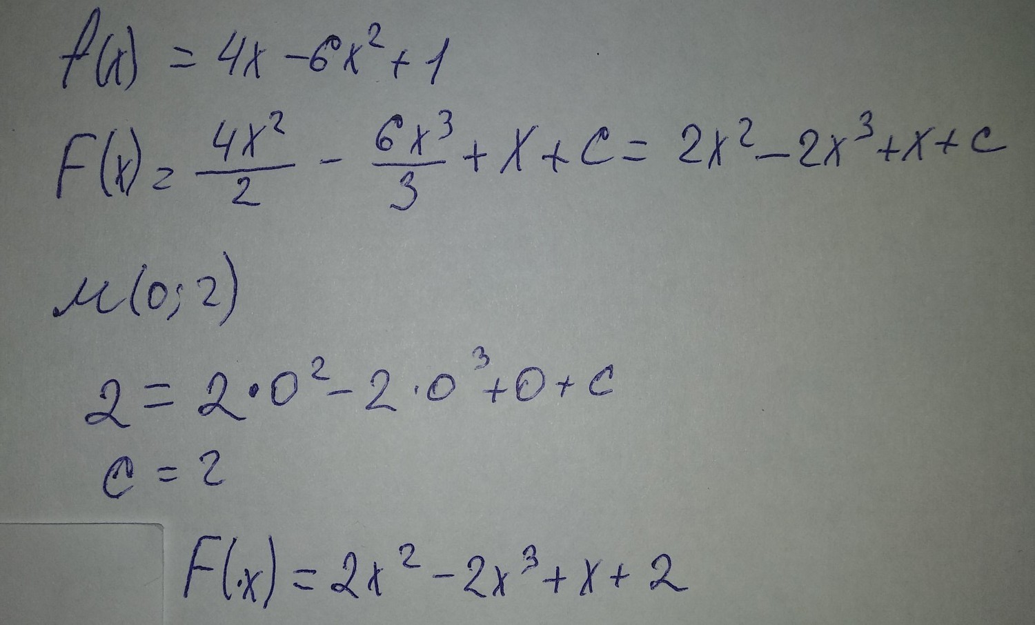
задайте первообразную F для функции f формулой, если известны координаты точки М графика F: f(x)= 4x-6x2 +1 M(0;2)
срочнооооо
6х2 это 6х в квадрате

Ответы

Ответ дал: devgor
0
смотри фото, надеюсь понятно
Приложения:
Вас заинтересует