Ответы
Ответ дал:
0
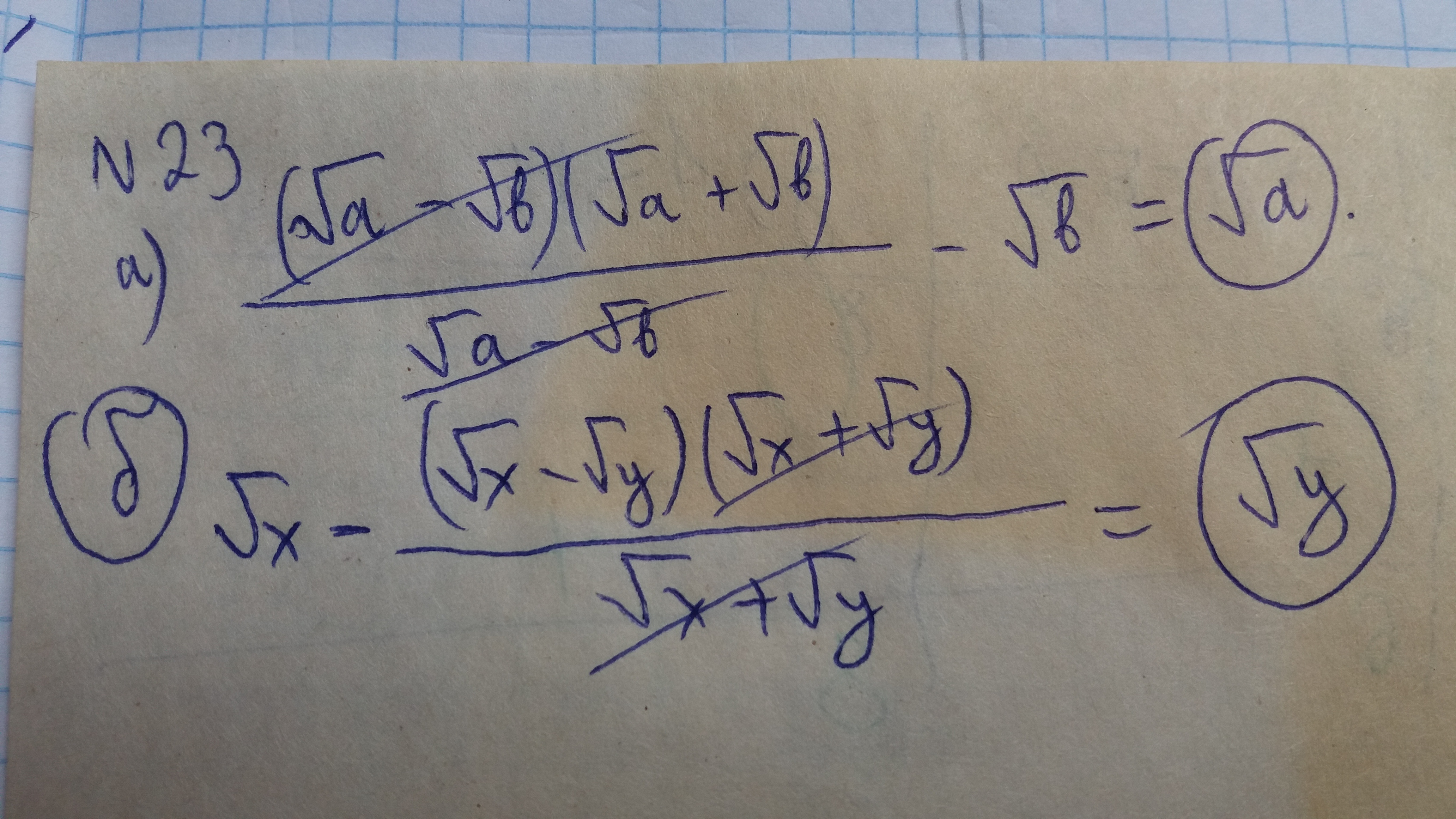
привести к наименьшему общему знаменателю ( под буквой А он будет корень из А минус корень из Б ) затем вычесть из первого множителя второй и сократить
Ответ дал:
0
Сначала нужно расписать как разность квадратов (есть формула), а потом сократить и вычесть. Решение приложено
Приложения:

Вас заинтересует
3 года назад
3 года назад
9 лет назад
9 лет назад