• Предмет: Алгебра
  • Автор: ReginaCat2017
  • Вопрос задан 8 лет назад

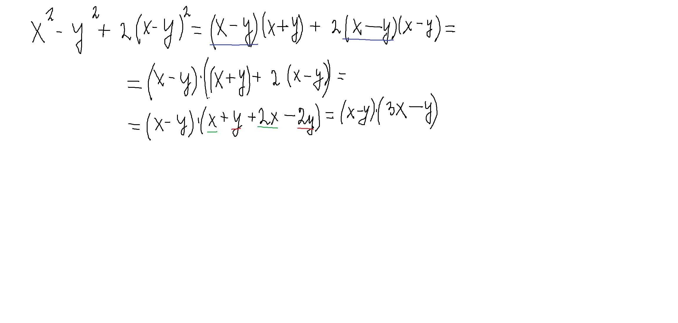
Применяя формулу сокращенного умножения разложите многочлен на множители x^2 - y^2 + 2(x-y)^2

Ответы

Ответ дал: parus77
0
решение смотри внизу
Приложения:
Ответ дал: ReginaCat2017
0
Спасибо. Просто я хотела проверить, правильно ли я решила. И благодаря вам, я поняла, в чём допустила ошибку
Ответ дал: parus77
0
Очень хорошо.Лучше не постесняться и спросить,чем допустить ошибку.
Вас заинтересует