• Предмет: Математика
  • Автор: familyasyka
  • Вопрос задан 8 лет назад

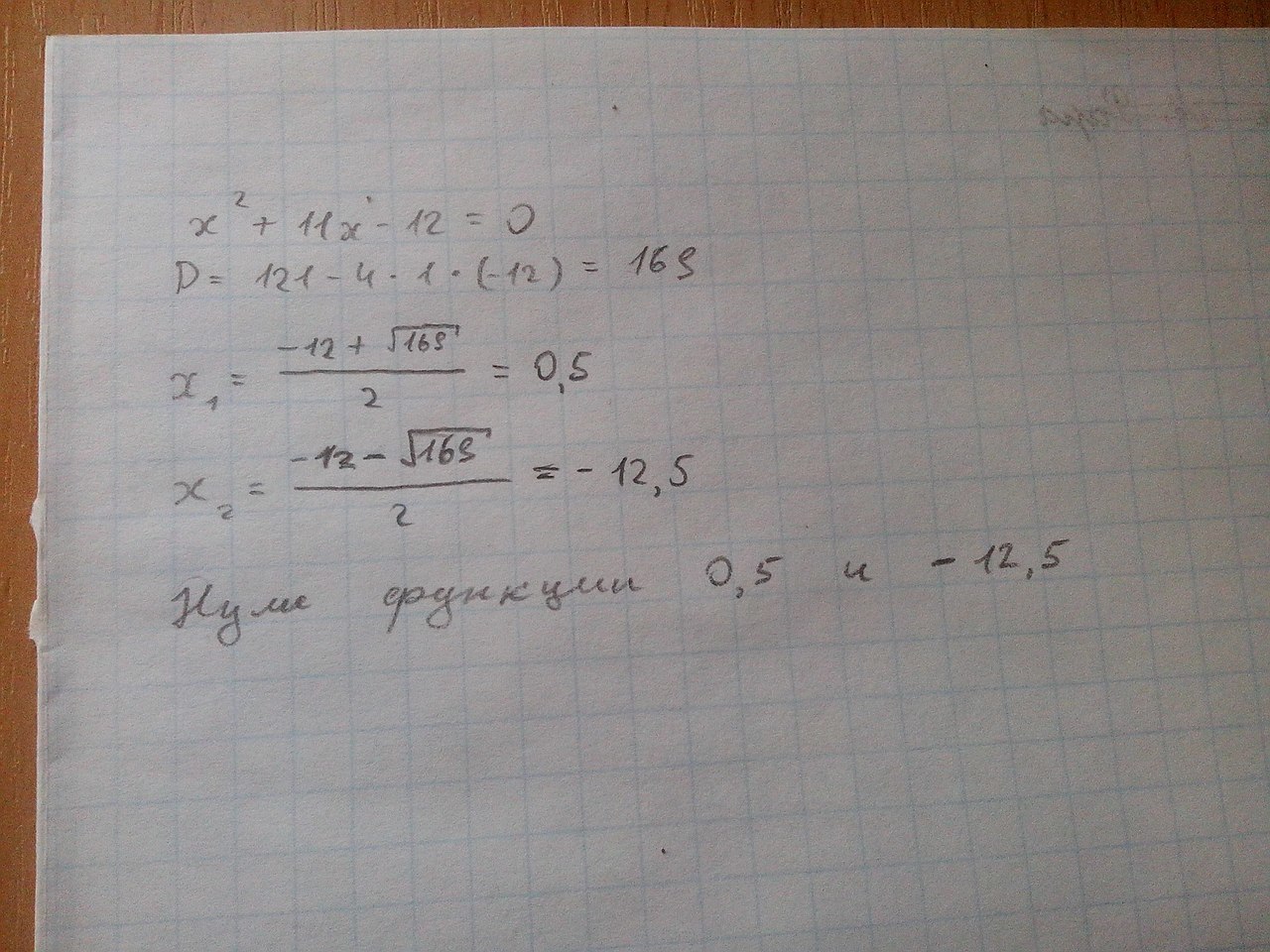
Знайдуть нулі функції y=x²+11x-12

Ответы

Ответ дал: overwolf1
0
..............................................................................=)
Приложения:
Ответ дал: familyasyka
0
Спасибо, я решила также, но в ответах тут только
Ответ дал: familyasyka
0
а) 1; 12 б) -1;12 в) -12;1 г)-12;-1
Вас заинтересует