• Предмет: Математика
  • Автор: zaliyaaaa
  • Вопрос задан 8 лет назад

Решите пожалуйста номер 1

Приложения:

Ответы

Ответ дал: сок111213
0
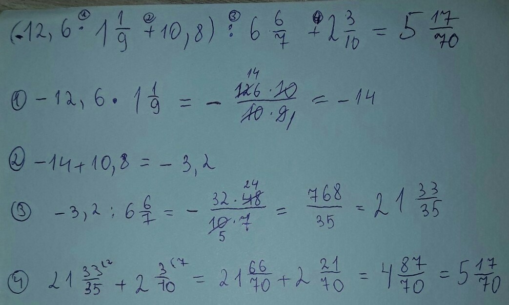
Решение на фотографии
Приложения:
Ответ дал: сок111213
0
4) 2 23/30
Ответ дал: сок111213
0
Спасибо, что нашли ошибку. Была не внимательна
Ответ дал: jekadva
0
-7/15 + 2 3/10 = -14/30 + 2 9/30 = 1 25/30 = 1 5/6
Ответ дал: сок111213
0
Блин, и в правду не внимательна
Ответ дал: сок111213
0
Огромное спасибо
Вас заинтересует