можете досконально объяснить решение данного задание, а то скоро огэ сдавать, а я эту тему не понял
Приложения:

Ответы
Ответ дал:
0
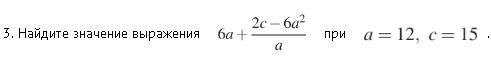
Приводим к общему знаменателю а
(6а^2+2с-6а^2)/а (ибо тк знаменатель один, запишем в одну дробь, ибо перед второй дробью плюс, то знаки не меняются)
6а^2 и -6а^2 уничтожаются
Получаем
2с/а
Подставляем а=12, с=15
2*15/12=30/12=2,5
(6а^2+2с-6а^2)/а (ибо тк знаменатель один, запишем в одну дробь, ибо перед второй дробью плюс, то знаки не меняются)
6а^2 и -6а^2 уничтожаются
Получаем
2с/а
Подставляем а=12, с=15
2*15/12=30/12=2,5
Ответ дал:
0
После 12 равно не записал
2*15/12=30/12=2,5
2*15/12=30/12=2,5
Ответ дал:
0
Ровно
Ответ дал:
0
Боже, почему с телефона так неудобно! Я исправил в решении уже
Ответ дал:
0
сначала вместо букв нужно поставить значения...( вместо а=12,с=15)
подставляем

решаем
выполняем умножение

вычитание над дробной чертой

дробление




подставляем
решаем
выполняем умножение
вычитание над дробной чертой
дробление
Вас заинтересует
2 года назад
2 года назад
3 года назад
3 года назад
9 лет назад
9 лет назад