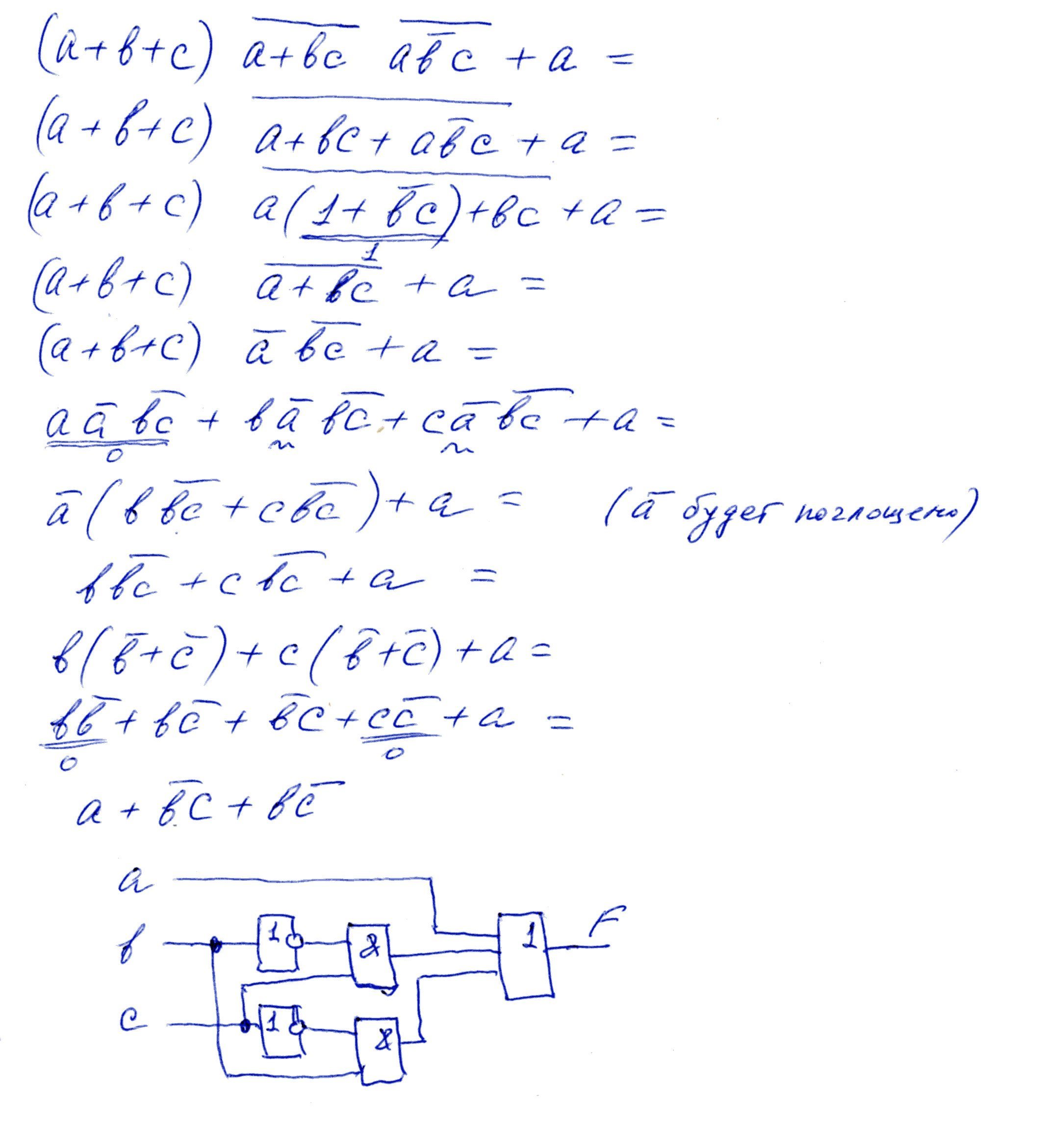
Упростить выражение, построить логическую схему и таблицу истинности для логического выражения:
(A OR B OR C) AND NOT (A OR B AND C) AND NOT (A AND NOT B AND C) OR A
Ответы
Ответ дал:
0
Решение находится в двух вложениях
Приложения:
Ответ дал:
0
спасибо
Ответ дал:
0
Пожалуйста
Вас заинтересует
2 года назад
3 года назад
3 года назад
9 лет назад
9 лет назад
10 лет назад