• Предмет: Алгебра
  • Автор: praim11com
  • Вопрос задан 8 лет назад

решите уравнение. срочно

Приложения:

Ответы

Ответ дал: margaritanikolaevna
0
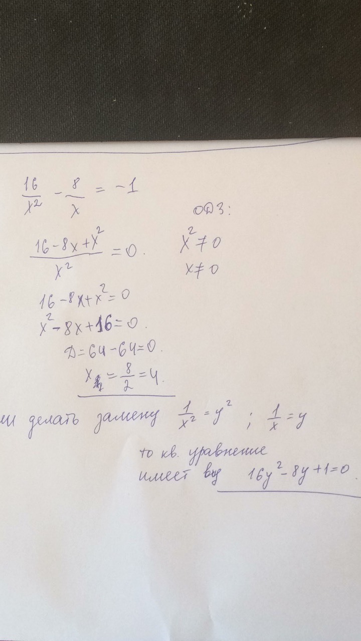
Перепишем уравнение с использованием понятия "отрицательная степень".и (или) сделаем замену 1/x=y и (1/х)^2=у^2 остальное на фото. Решала без замены, можно решать и с заменой.
Приложения:
Ответ дал: sangers1959
0
16*x⁻²-8*x⁻¹=-1                        ОДЗ: x≠0
16*x⁻²-8*x⁻¹+1=0  |*x²
16-8x+x²=0
x²-2*x*4+4²=0
(x-4)²=0
x-4=0
x=4.
Ответ: x=4.
Приложения:
Вас заинтересует