• Предмет: Алгебра
  • Автор: alex5141
  • Вопрос задан 8 лет назад

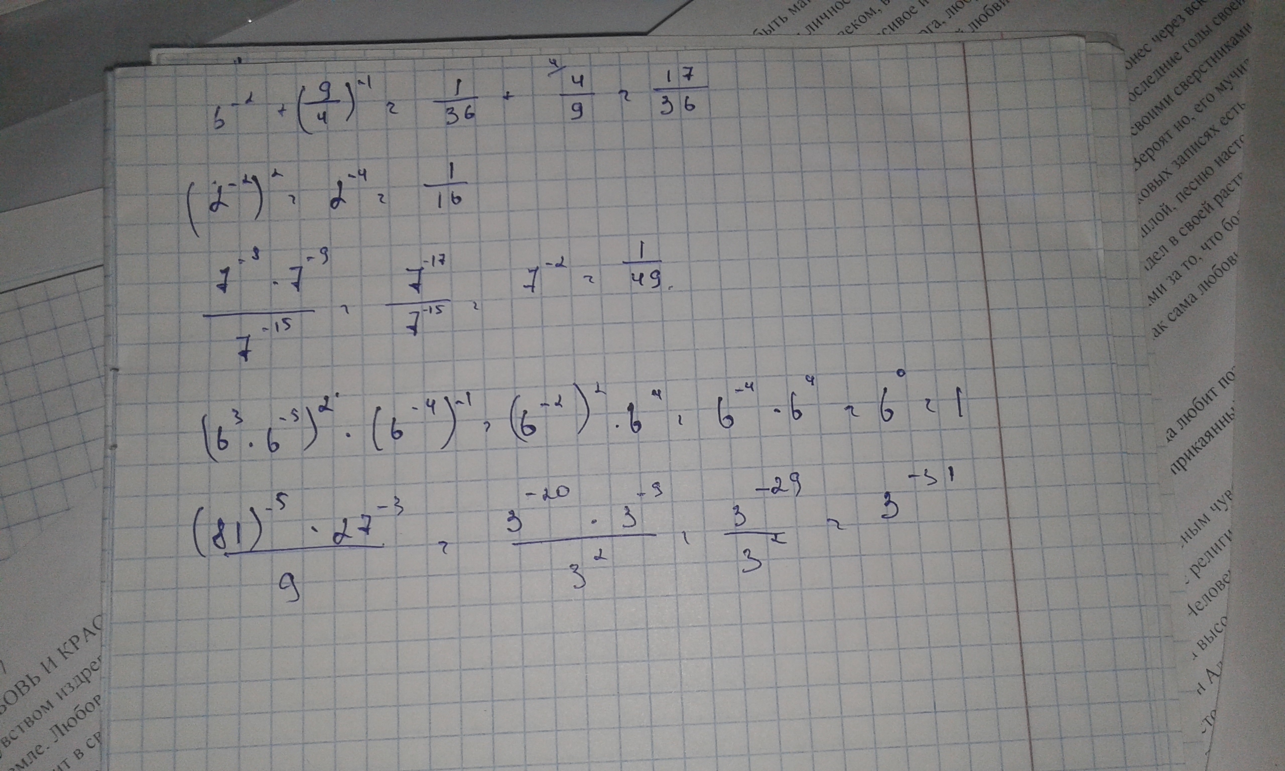
Помогите найти значение выражения

Приложения:

Ответы

Ответ дал: Piratka6776
0
вот решение 3 задания
будут вопросы задавай
Приложения:
Ответ дал: alex5141
0
С 4,5,6 мож помочь?
Ответ дал: alex5141
0
Заданием
Ответ дал: alex5141
0
Я отправлял 56 мин назад
Ответ дал: Piratka6776
0
хорошо
Вас заинтересует