Ответы
Ответ дал:
0
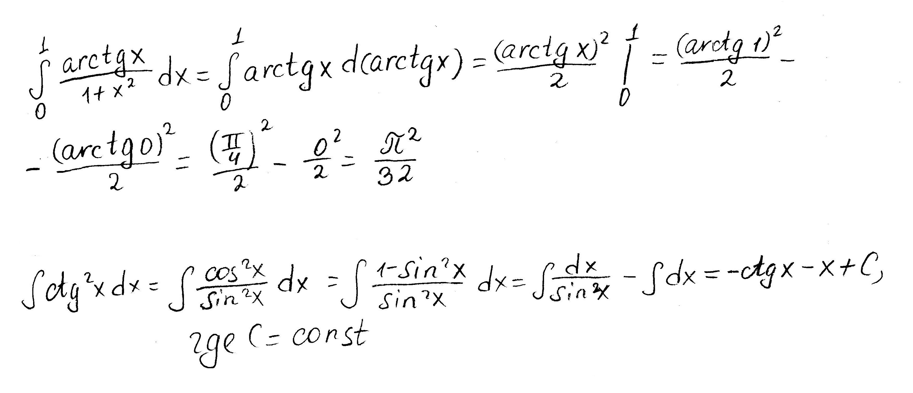
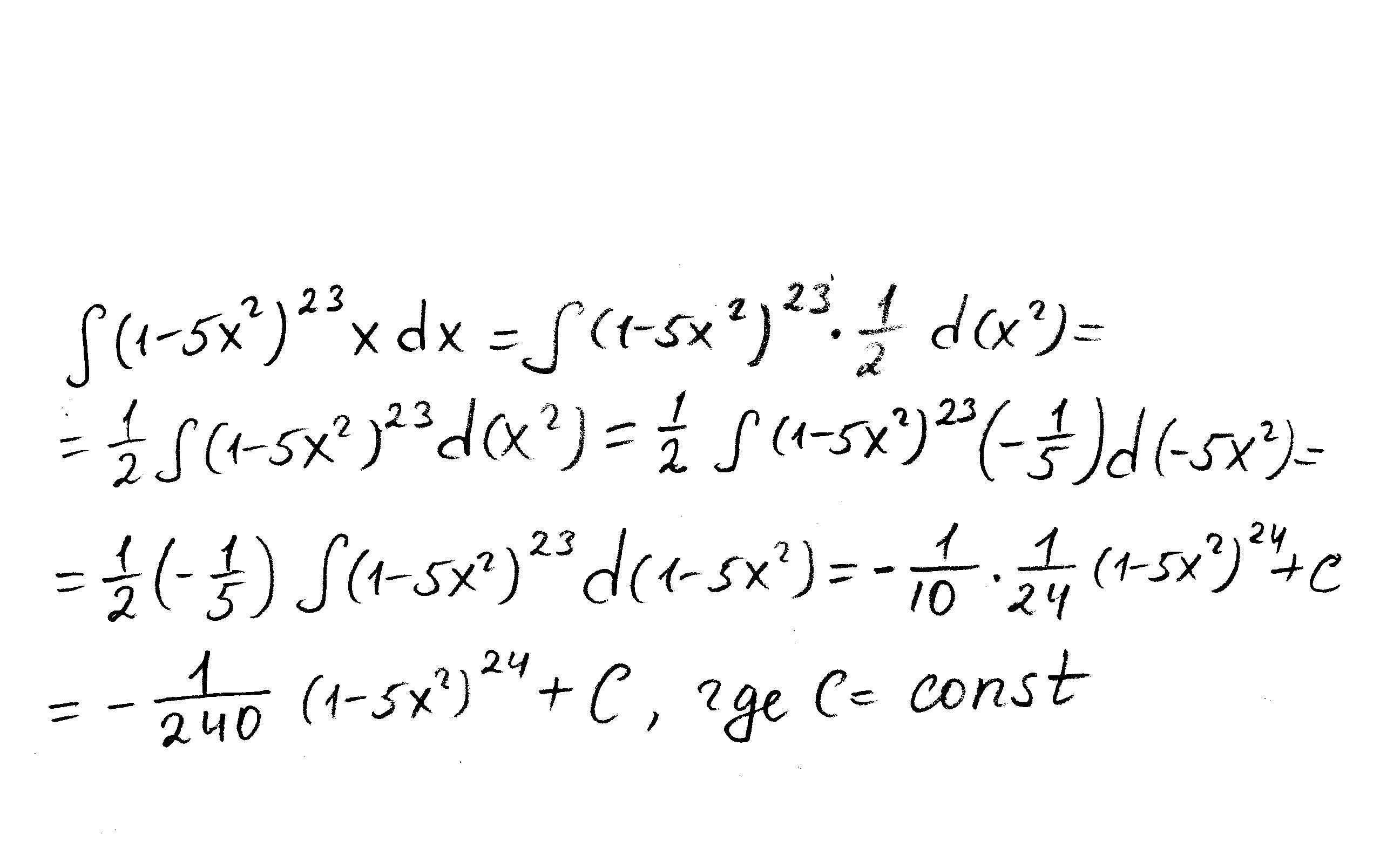
Решение в приложении. Надеюсь, верно.
Приложения:


Ответ дал:
0
Спасибо большое!что за приложение?я тож на это надеюсь
Ответ дал:
0
В первом решенном небольшая ошибка. Сейчас поменяю
Вас заинтересует
2 года назад
3 года назад
3 года назад
9 лет назад
9 лет назад
9 лет назад