• Предмет: Химия
  • Автор: ЕЛЬНУР11
  • Вопрос задан 8 лет назад

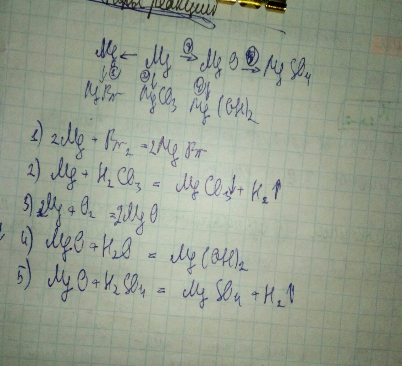
простите что так плохо сфотографировал! нужно 3 задание

Приложения:

Ответы

Ответ дал: Яна09022000
0
все понятно кроме нижнего левого вещества. ! я могу написать, но только, если скажут по-русски что там такое
Приложения:
Ответ дал: Яна09022000
0
аааааааа все увиделааааааааааааааа, ждите фотоку
Ответ дал: ЕЛЬНУР11
0
ое
Ответ дал: ЕЛЬНУР11
0
ок
Вас заинтересует