Ответы
Ответ дал:
0
Вот фото решение
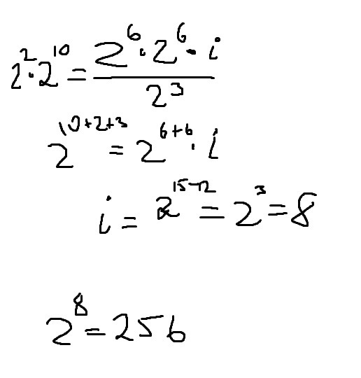
По формулам I=w*h*i/8 и 2^i=N
N - искомое кол-во цветов
По формулам I=w*h*i/8 и 2^i=N
N - искомое кол-во цветов
Приложения:

Вас заинтересует
2 года назад
3 года назад
3 года назад
9 лет назад
9 лет назад
9 лет назад