• Предмет: Алгебра
  • Автор: vovazinchenko
  • Вопрос задан 8 лет назад

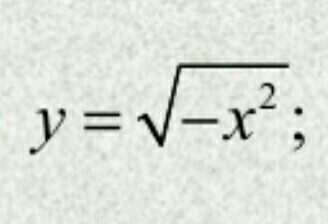
Область визначення якої функції складається з одного числа?

Ответы

Ответ дал: Godnessgirl
0
наприклад такої.......
Приложения:
Вас заинтересует