• Предмет: Алгебра
  • Автор: udovichenkoegor
  • Вопрос задан 8 лет назад

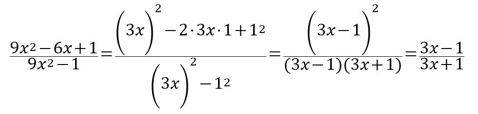
Сократите дробь: 9x^2-6x+1 / 9x^2-1

Ответы

Ответ дал: Нау4пок
0
Решение во вложении.
Приложения:
Вас заинтересует