• Предмет: Математика
  • Автор: ostanina23
  • Вопрос задан 8 лет назад

Помогите, первые два задания

Приложения:

Ответы

Ответ дал: Nicky133
0
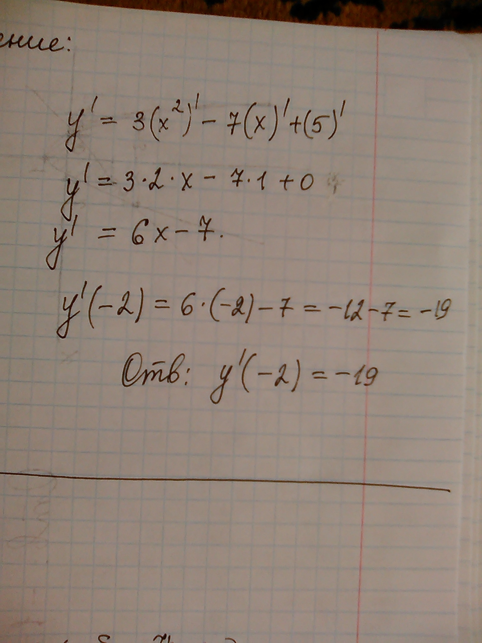
Пока переписи 1 задание, чуть позже скину второе....
Приложения:
Вас заинтересует