• Предмет: Химия
  • Автор: раен2
  • Вопрос задан 8 лет назад

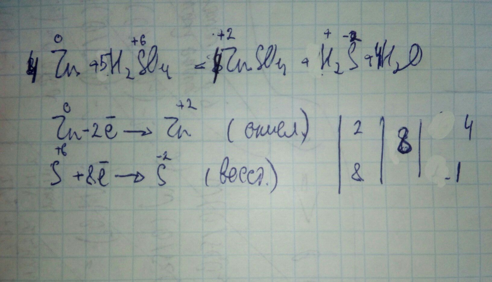
раставьте коэффициенты пользуясь методом электронно баланса zn+h2so4 znso4+h2s+h2o

Ответы

Ответ дал: Яна09022000
0
переписывайте внимательно
Приложения:
Вас заинтересует