• Предмет: Алгебра
  • Автор: Rasstik
  • Вопрос задан 8 лет назад

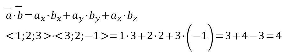
найдите скалярное произведение векторов А(1;2;3)иВ(3;2;-1)

Ответы

Ответ дал: Нау4пок
0
Решение во вложении.
Приложения:
Вас заинтересует