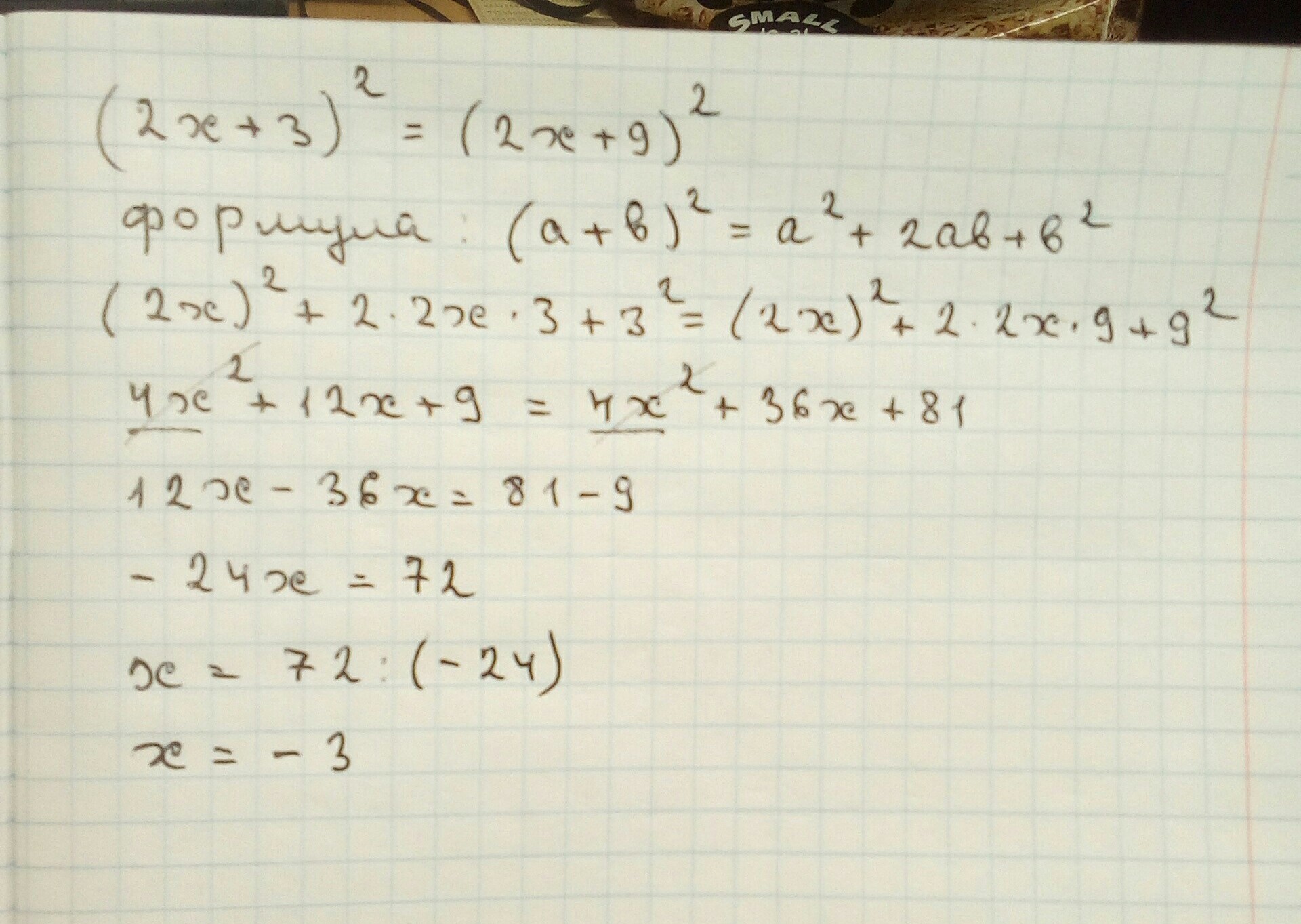
Уравнение: (2x+3)^2=(2x+9)^2
Только давайте без копирнутых ответов, объясните почему применили ту или иную теорему/формулу
Знаю, что легкое, но почему то не сходиться
Ответы
Ответ дал:
0
(2x+3)^2 = (2x+9)^2
4x^2 + 12x + 9 = 4x^2 + 36x + 81
24x + 72 = 0
x + 3 = 0
x = -3
// либо (при вещественных x) уравнение можно рассматривать как |2x - (-3)| = |2x - (-9)|, т.е. "расстояние от 2x до -3 равно расстоянию от 2x до -9", т.е. 2x расположено посередине между -3 и - 9 -> 2x = (-3 + -9)/2 = -6, x = -3
4x^2 + 12x + 9 = 4x^2 + 36x + 81
24x + 72 = 0
x + 3 = 0
x = -3
// либо (при вещественных x) уравнение можно рассматривать как |2x - (-3)| = |2x - (-9)|, т.е. "расстояние от 2x до -3 равно расстоянию от 2x до -9", т.е. 2x расположено посередине между -3 и - 9 -> 2x = (-3 + -9)/2 = -6, x = -3
Ответ дал:
0
фоточка тебе в помощь ;)
Приложения:

Вас заинтересует
2 года назад
2 года назад
3 года назад
3 года назад
9 лет назад
9 лет назад
9 лет назад