Ответы
Ответ дал:
0
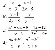
а) 2x/2x-6 +x-1/2x-6= 3x-1/2x-6
б) y-1/2y-8 - 2y/2y-8= -y-1/2y-8= y+1/8-2y
c) (x+3)²/x-3 * 4(x-3)/3x(x+3)= 4(x+3)/3x
d) b(a+b)/x+y : (a-b)(a+b)/x+y= b(a+b)/x+y * x+y/(a-b)(a+b)= b/a-b
б) y-1/2y-8 - 2y/2y-8= -y-1/2y-8= y+1/8-2y
c) (x+3)²/x-3 * 4(x-3)/3x(x+3)= 4(x+3)/3x
d) b(a+b)/x+y : (a-b)(a+b)/x+y= b(a+b)/x+y * x+y/(a-b)(a+b)= b/a-b
Вас заинтересует
2 года назад
2 года назад
3 года назад
3 года назад
9 лет назад
10 лет назад