• Предмет: Математика
  • Автор: tmbxr1
  • Вопрос задан 8 лет назад

Упростить выражение проверить результат вручную
(c-1)*c/c*(2c-2)

Ответы

Ответ дал: гюйс
0
 frac{(c-1)c}{c(2c-2)} = frac{c-1}{2(c-1)} = frac{1}{2} =0.5

Подставим с=2
 frac{2(2-1)}{2(2*2-2)} = frac{2*1}{2*2} = frac{1}{2} =0.5
Ответ дал: гюйс
0
над дробью, под дробью ??
Ответ дал: гюйс
0
это три выражения? раздел где? перед 12 и -10?
Ответ дал: tmbxr1
0
Да. Сейчас может так будет легче : x-10 умножить на порень из под x , плюс 25. дробь 3 умножить на корень из под x , плюс 12 потом делим на дробь 2 корень из под x , минус 10 дробь x-16
Ответ дал: гюйс
0
чет тут смысла нет сокращать. особенно после минуса.
Ответ дал: tmbxr1
0
ну хоть как то
Ответ дал: Аноним
0
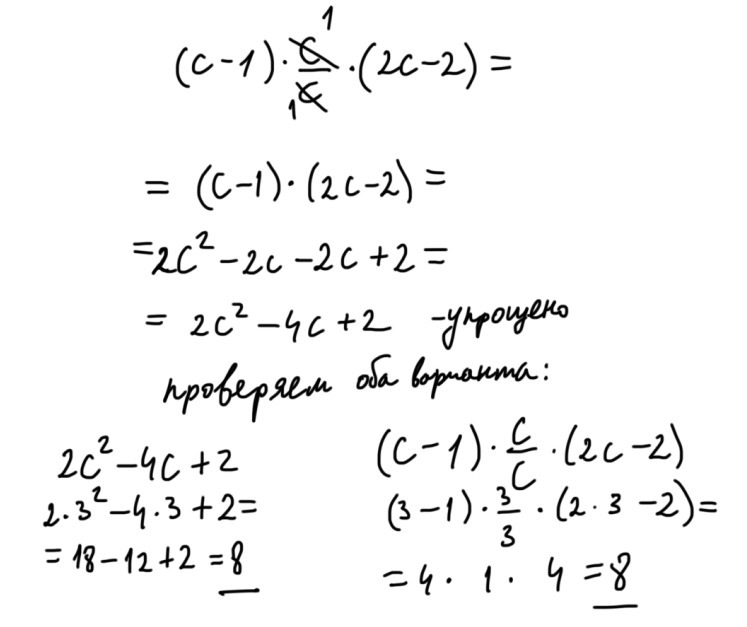
упростил
....................
..............
Приложения:
Ответ дал: Аноним
0
теперь мне кажется что я усложнил, из-за квадрата
Ответ дал: гюйс
0
2(c^2 - 2c +1)=2(c-1)^2
Вас заинтересует