• Предмет: Математика
  • Автор: кобюк
  • Вопрос задан 8 лет назад

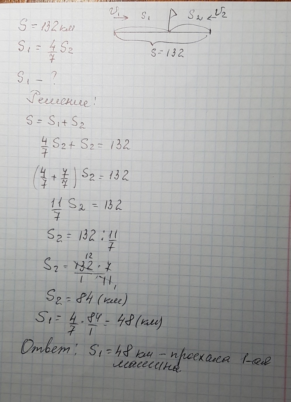
две машины выехали одновременно навстречу друг другу из двух городов, разтаяние между каторыми равно 132 км. Сколько километров к встречи проехала первая машина, если пройдено нею разтаяние равно четыре седмых (дробь) пути, пройденого друной машиной

Ответы

Ответ дал: 1233090
0
решение задания смотри на фотографии
Приложения:
Ответ дал: 1233090
0
пожалуйста
Вас заинтересует