Ответы
Ответ дал:
0
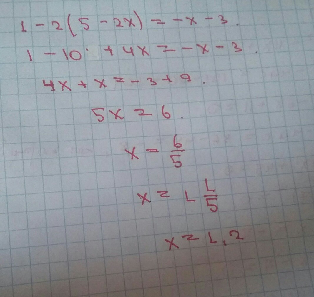
1-2(5-2x)=-x-3
1-10+4x=-x-3
-9+4x=-x-3
4x+x=-3+9
5x=6
x=6/5
1-10+4x=-x-3
-9+4x=-x-3
4x+x=-3+9
5x=6
x=6/5
Ответ дал:
0
Решение на фото. Удачи
Приложения:

Вас заинтересует
2 года назад
3 года назад
3 года назад
9 лет назад
9 лет назад
9 лет назад
9 лет назад