Ответы
Ответ дал:
0
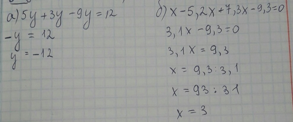
А) 5y+3y-9y=12
-y=12
y= -12
Б) x-5,2x+7,3x-9,3=0
x-5,2x+7,3x=9,3
3,1x=9,3
x=3
-y=12
y= -12
Б) x-5,2x+7,3x-9,3=0
x-5,2x+7,3x=9,3
3,1x=9,3
x=3
Ответ дал:
0
Решение на фотографии
Приложения:

Вас заинтересует
2 года назад
2 года назад
3 года назад
3 года назад
9 лет назад
9 лет назад
9 лет назад