Ответы
Ответ дал:
0
везде стоит вначале lim (x->∞)
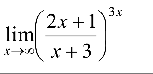
((2x+1)/(x+3))^3x это предел (∞/∞)^∞
((2x+1)/(x+3))^3x = ((2x+1)/x : (x+3)/x)^3x = ((2+1/x)/(1+3/x))^3x=(2)^3x = 2^∞ = ∞
((2x+1)/(x+3))^3x это предел (∞/∞)^∞
((2x+1)/(x+3))^3x = ((2x+1)/x : (x+3)/x)^3x = ((2+1/x)/(1+3/x))^3x=(2)^3x = 2^∞ = ∞
Вас заинтересует
2 года назад
2 года назад
3 года назад
3 года назад
9 лет назад
9 лет назад
10 лет назад