• Предмет: Математика
  • Автор: dinusja14
  • Вопрос задан 8 лет назад

Ребята помогите решить пожалуйста (2,4)

Приложения:

Ответы

Ответ дал: сок111213
0
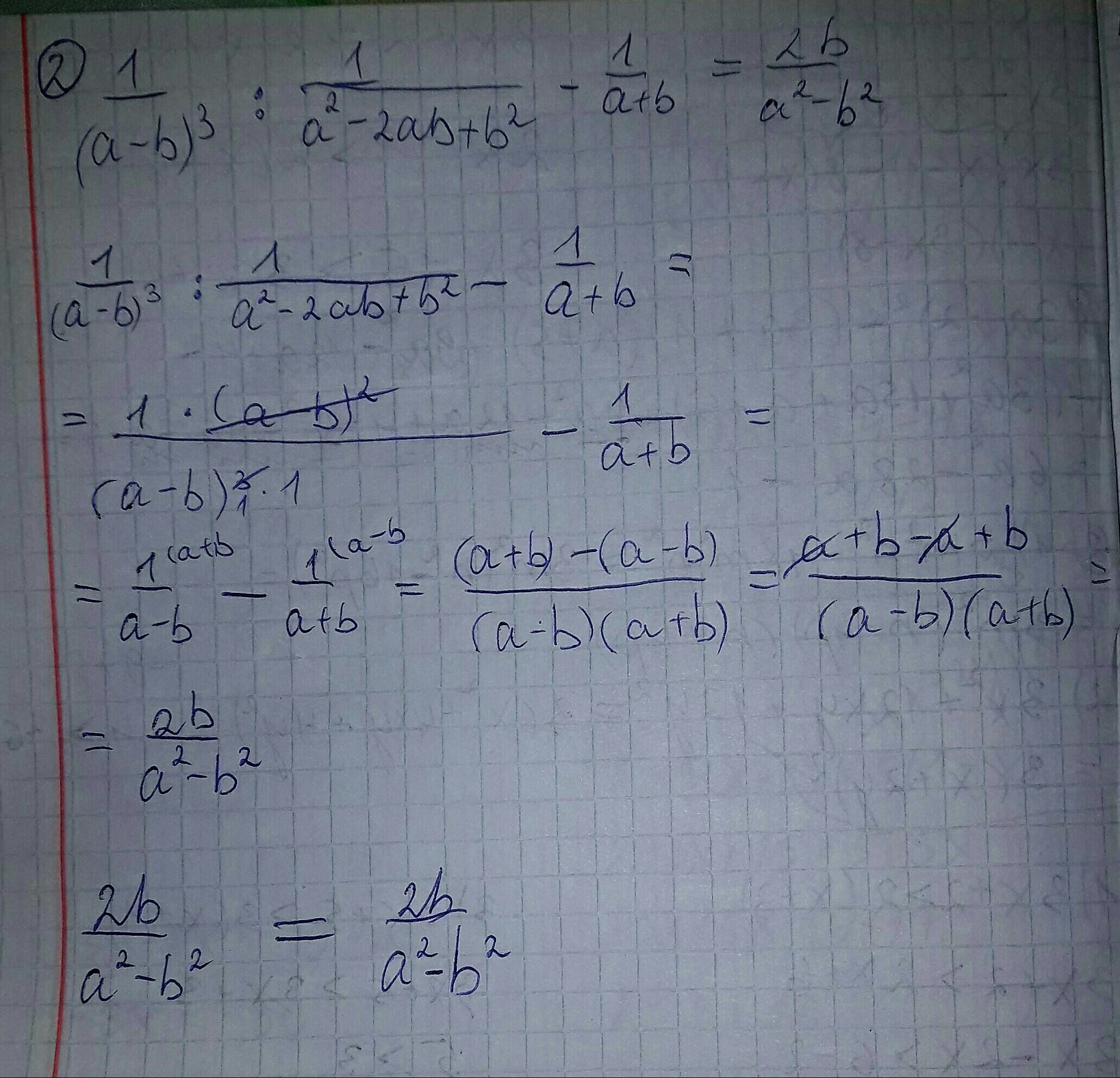
Решение на фотографиях
Приложения:
Вас заинтересует