• Предмет: Математика
  • Автор: dinusja14
  • Вопрос задан 8 лет назад

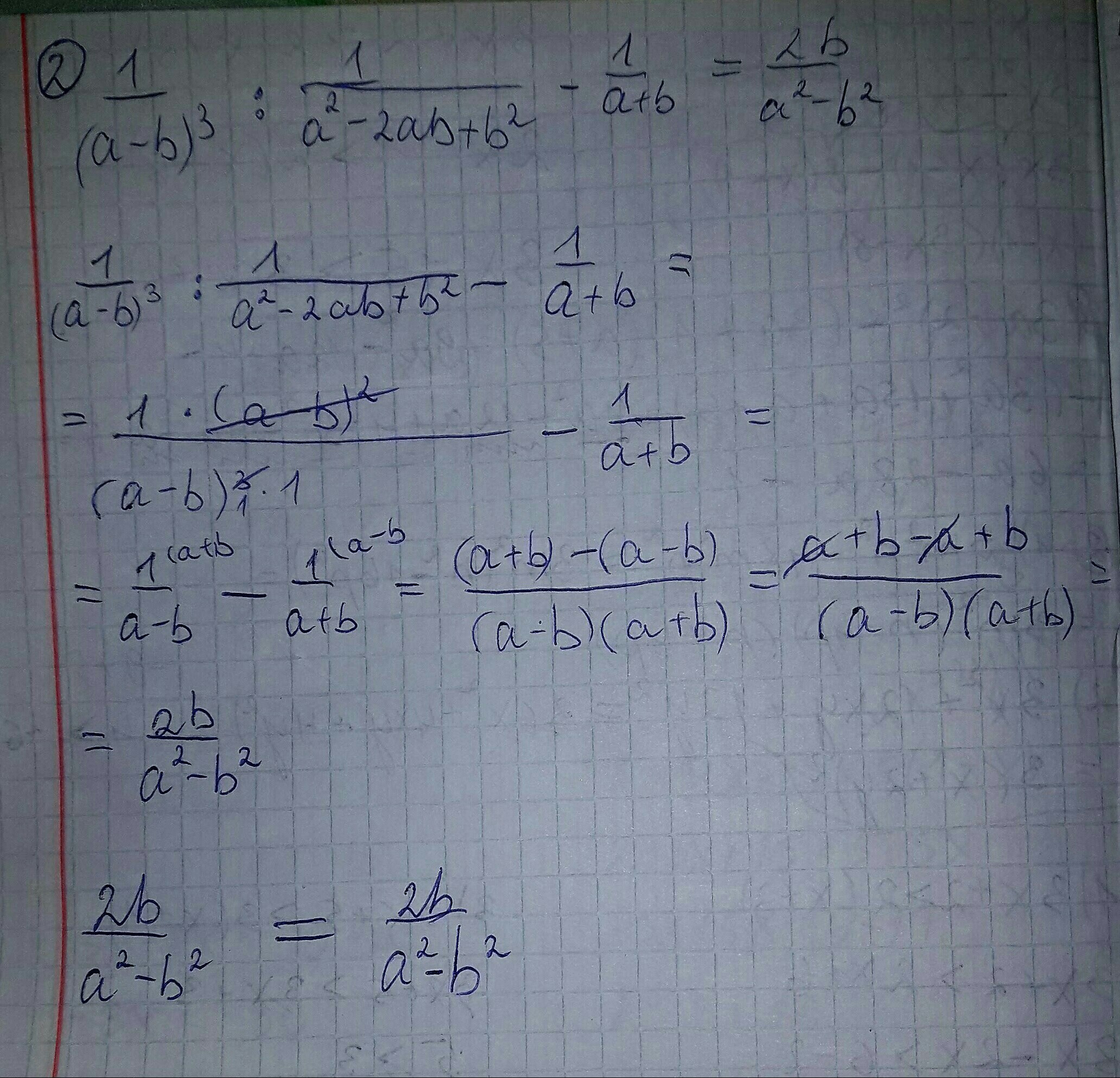
Ребята помогите решить пожалуйста (2,4)

Приложения:

Ответы

Ответ дал: сок111213
0
Решение на фотографиях
Приложения:
Ответ дал: dinusja14
0
спасибо огромное
Вас заинтересует