• Предмет: Алгебра
  • Автор: maltsevaanna20
  • Вопрос задан 8 лет назад

Помогите, пожалуйста

Приложения:

Ответы

Ответ дал: Алгебратик
0
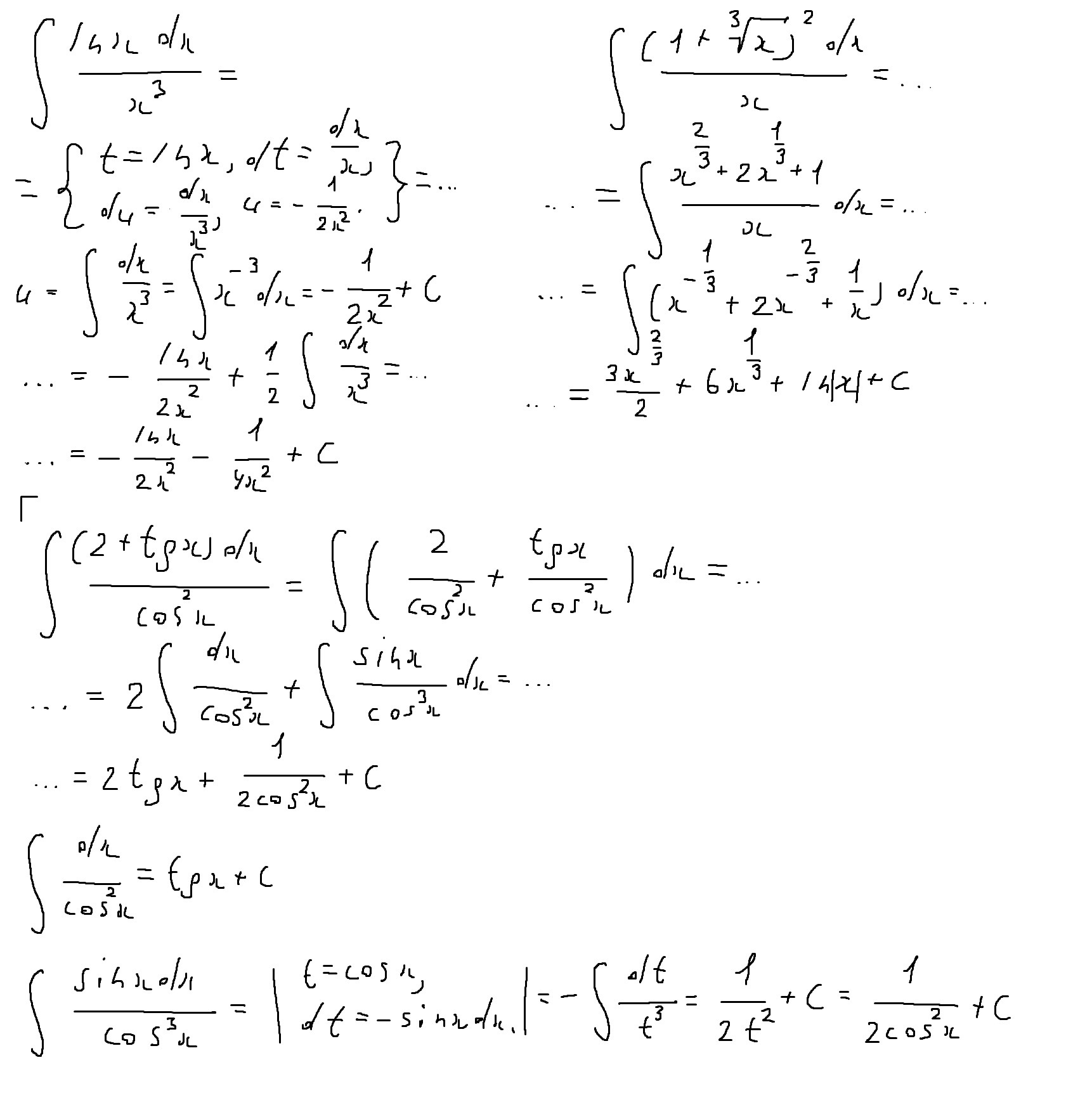
Решение на рисунке....
Приложения:
Вас заинтересует