• Предмет: Алгебра
  • Автор: sablukovatatya
  • Вопрос задан 8 лет назад

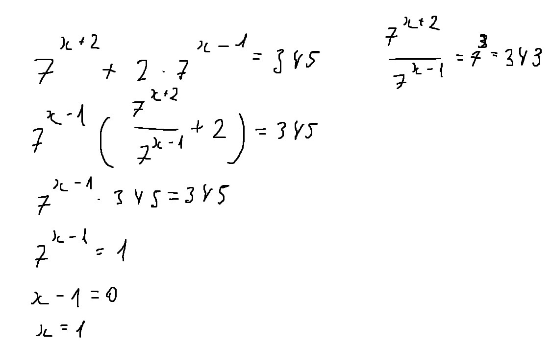
7^(x+2)+2*7^(x-1)=345
помогите решить уравнение! срочно нужно

Ответы

Ответ дал: Seatle62
0
Ну вот)Там в ответе x=115/7,x=16,3/7
Приложения:
Ответ дал: Алгебратик
0
Стандартный случай при решении показательных уравнений.
Приложения:
Вас заинтересует