Ответы
Ответ дал:
0
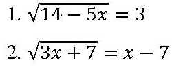
1. Возведем в квадрат обе части и имеем:
14-5х=9
-5х=-5
х=1
Ответ: 1
2. Тут одз: х>=7. Аналогично возводим в квадрат обе части и имеем:
3х+7=х^2-14х+49
3х+7-х^2+14х-49=0
-х^2+17х-42=0
х^2-17х+42=0
х1 = 14
х2 = 3 < 7 значит, не подходит
Ответ: 14
14-5х=9
-5х=-5
х=1
Ответ: 1
2. Тут одз: х>=7. Аналогично возводим в квадрат обе части и имеем:
3х+7=х^2-14х+49
3х+7-х^2+14х-49=0
-х^2+17х-42=0
х^2-17х+42=0
х1 = 14
х2 = 3 < 7 значит, не подходит
Ответ: 14
Вас заинтересует
2 года назад
2 года назад
3 года назад
3 года назад
9 лет назад
9 лет назад
10 лет назад