• Предмет: Математика
  • Автор: antha47
  • Вопрос задан 8 лет назад

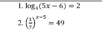
Решение логарифмических и показательных уравнений.
Заранее спасибо)

Приложения:

Ответы

Ответ дал: белка91423
0
1. 5х-6=4²
5х=16+6
5х=22
х=4,2
2. -х+5=2
х=3
решать нужно по определению логарифма и свойствам степеней
Ответ дал: antha47
0
Это все решение?
Ответ дал: белка91423
0
в принципе да, модно подробнее расписать, если требуется
Ответ дал: antha47
0
Желательно
Ответ дал: белка91423
0
тогда жди
Ответ дал: белка91423
0
не могу прикрепить фото задай еще раз этот вопрос
Вас заинтересует