Ответы
Ответ дал:
0
Простейшие случаи.
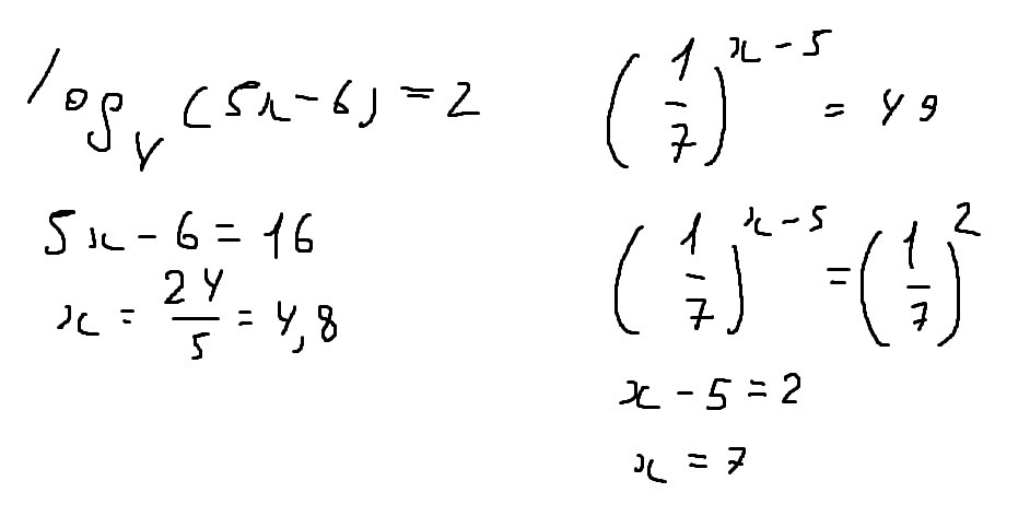
Решение уравнения (1), непосредственно, через определение логарифма.
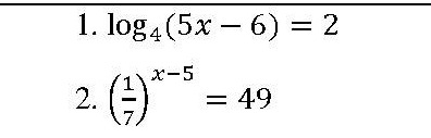
Решение уравнения (2) по принципу приведения равных оснований у выражений в обеих частях.
Решение уравнения (1), непосредственно, через определение логарифма.
Решение уравнения (2) по принципу приведения равных оснований у выражений в обеих частях.
Приложения:

Ответ дал:
0
16+6=22,а не 24.,.
Ответ дал:
0
По аналогии.
Вас заинтересует
2 года назад
2 года назад
3 года назад
9 лет назад
9 лет назад