• Предмет: Алгебра
  • Автор: mashabober
  • Вопрос задан 8 лет назад

Придать вид
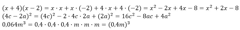
многочлена:(х+4)(х-2)
(4с-2а)^2
0,064m^3

Ответы

Ответ дал: Нау4пок
0
Решение во вложении.
Приложения:
Вас заинтересует