• Предмет: Математика
  • Автор: vika777724
  • Вопрос задан 8 лет назад

Решите срочно пожалуйста) 5 задание

Приложения:

Ответы

Ответ дал: Simka1012
0
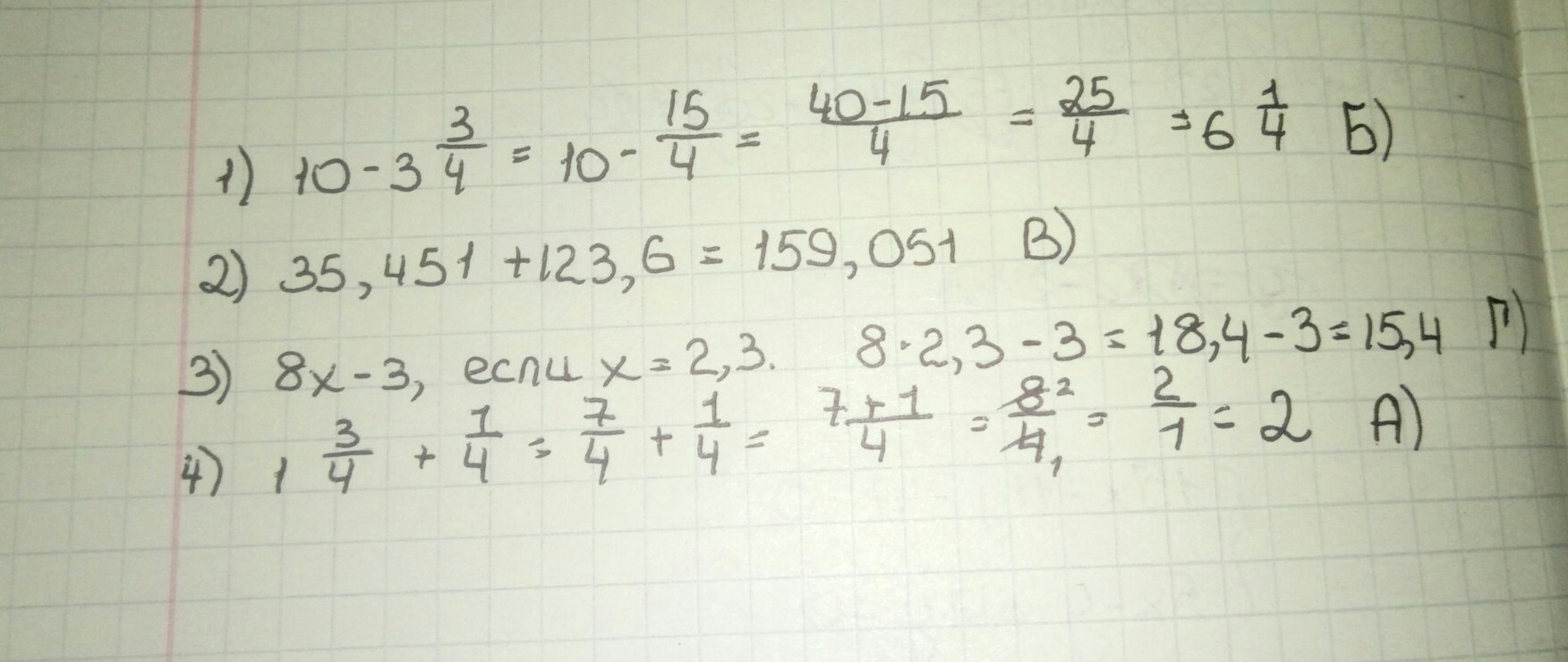
1 - Б
2 - В
3 - Г
4 - А
Ответ дал: annahappy13
0
все решение на листочке)))


желаю удачи :)
Приложения:
Ответ дал: annahappy13
0
если что, у меня расписаны примеры и объяснения, почему именно эти буквы.
Ответ дал: vika777724
0
спасибо большое
Вас заинтересует