• Предмет: Математика
  • Автор: mosinaanzelika1
  • Вопрос задан 8 лет назад

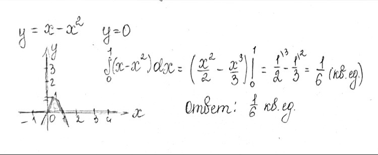
Найти площадь фигуры ограниченной линиями у=x-x^2 ; y=0

Ответы

Ответ дал: karinabibikp9j01y
0
На рисунке видно ,что площадь маленькая.Находим через интеграл.
Приложения:
Вас заинтересует