• Предмет: Алгебра
  • Автор: tennzer
  • Вопрос задан 8 лет назад

Теория вероятностей. Хелпаните, и более менее распишите подробно.
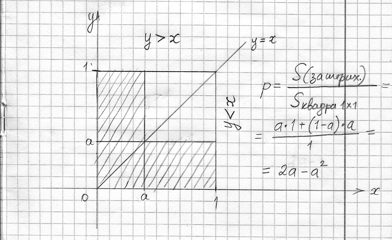
Внутри квадрата с вершинами (0,0); (1,0); (1,1); (0;1) наудачу выбирается точка М (x, y). Найти вероятность того, что min(x, y)<a, (0<a<1)

Ответы

Ответ дал: Аноним
0
Я написал решение на листочке ===>>
Приложения:
Ответ дал: ValeraDavay
0
Здравствуйте, помогите пожалуйста с алгеброй! Вот ссылки: 1) https://znanija.com/task/29253384 2) https://znanija.com/task/29253385 3) https://znanija.com/task/29253390
Вас заинтересует