• Предмет: Алгебра
  • Автор: h1598619pipka
  • Вопрос задан 8 лет назад

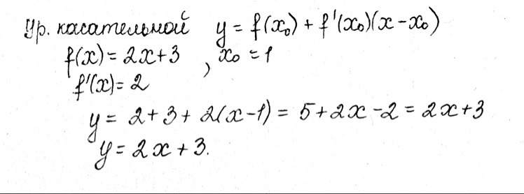
4. Запишите уравнение касательной, проведённой к графику функции
y = f(x) в точке х0, если у = 2х + 3, х0 = 1.

Ответы

Ответ дал: karinabibikp9j01y
0
Удачи первая строка -вид уравнения касательной)
Приложения:
Вас заинтересует