Ответы
Ответ дал:
0
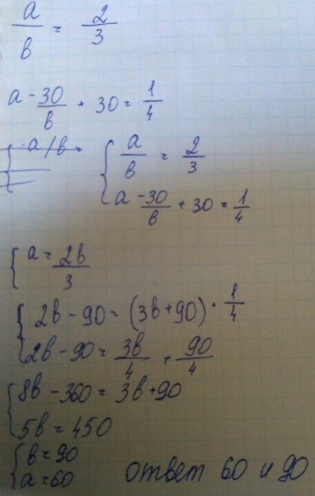
№149. Вот фотка посмотри
№150
Пусть в одном бидоне было х литров молока, тогда в другом бидоне было 4х литров молока. Составим и решим уравнение:
№151
95+152=247
95:5=19
152:8=19
№150
Пусть в одном бидоне было х литров молока, тогда в другом бидоне было 4х литров молока. Составим и решим уравнение:
№151
95+152=247
95:5=19
152:8=19
Приложения:


Ответ дал:
0
№150 Пусть в одном бидоне было х литров молока, тогда в другом бидоне было 4х литров молока. Составим и решим уравнение:
Вас заинтересует
2 года назад
2 года назад
3 года назад
3 года назад
9 лет назад
9 лет назад